Энергия соленоида с током формула
Каждый проводник, по которому протекает эл.ток, находится в собственном магнитном поле.
При изменении силы тока в проводнике меняется м.поле, т.е. изменяется магнитный поток, создаваемый этим током. Изменение магнитного потока ведет в возникновению вихревого эл.поля и в цепи появляется ЭДС индукции.
Это явление называется самоиндукцией.
Самоиндукция — явление возникновения ЭДС индукции в эл.цепи в результате изменения силы тока. Возникающая при этом ЭДС называется ЭДС самоиндукции
Проявление явления самоиндукции
При замыкании в эл.цепи нарастает ток, что вызывает в катушке увеличение магнитного потока, возникает вихревое эл.поле, направленное против тока, т.е. в катушке возникает ЭДС самоиндукции, препятствующая нарастанию тока в цепи (вихревое поле тормозит электроны). В результате Л1 загорается позже, чем Л2.
При размыкании эл.цепи ток убывает, возникает уменьшение м.потока в катушке, возникает вихревое эл.поле, направленное как ток (стремящееся сохранить прежнюю силу тока) , т.е. в катушке возникает ЭДС самоиндукции, поддерживающая ток в цепи. В результате Л при выключении ярко вспыхивает.
в электротехнике явление самоиндукции проявляется при замыкании цепи (электрический ток нарастает постепенно) и при размыкании цепи (электрический ток пропадает не сразу).
От чего зависит ЭДС самоиндукции?
Электрический ток создает собственное магнитное поле. Магнитный поток через контур пропорционален индукции магнитного поля (Ф
B), индукция пропорциональна силе тока в проводнике (B
I), следовательно магнитный поток пропорционален силе тока (Ф
I). ЭДС самоиндукции зависит от скорости изменения силы тока в эл.цепи, от свойств проводника (размеров и формы) и от относительной магнитной проницаемости среды, в которой находится проводник. Физическая величина, показывающая зависимость ЭДС самоиндукции от размеров и формы проводника и от среды, в которой находится проводник, называется коэффициентом самоиндукции или индуктивностью.
Индуктивность — физическая величина, численно равная ЭДС самоиндукции, возникающей в контуре при изменении силы тока на 1Ампер за 1 секунду. Также индуктивность можно рассчитать по формуле:
где Ф — магнитный поток через контур, I — сила тока в контуре.
Единицы измерения индуктивности в системе СИ:
Индуктивность катушки зависит от: числа витков, размеров и формы катушки и от относительной магнитной проницаемости среды ( возможен сердечник).
ЭДС самоиндукции препятствует нарастанию силы тока при включении цепи и убыванию силы тока при размыкании цепи.
ЭНЕРГИЯ МАГНИТНОГО ПОЛЯ ТОКА
Вокруг проводника с током существует магнитное поле, которое обладает энергией. Откуда она берется? Источник тока, включенный в эл.цепь, обладает запасом энергии. В момент замыкания эл.цепи источник тока расходует часть своей энергии на преодоление действия возникающей ЭДС самоиндукции. Эта часть энергии, называемая собственной энергией тока, и идет на образование магнитного поля.
Энергия магнитного поля равна собственной энергии тока. Собственная энергия тока численно равна работе, которую должен совершить источник тока для преодоления ЭДС самоиндукции, чтобы создать ток в цепи.
Энергия магнитного поля, созданного током, прямо пропорциональна квадрату силы тока. Куда пропадает энергия магнитного поля после прекращения тока? — выделяется ( при размыкании цепи с достаточно большой силой тока возможно возникновение искры или дуги)
Плотность энергии различных систем
В таблице приведена плотность энергии замкнутых систем, включая дополнительные внешние компоненты, такие как окислители или источники тепла, но исключая энергию покоя системы в конечном состоянии. 1 МДж ≈ 278 Вт·ч.
| Название | Плотность энергии на единицу массы (МДж/кг) | Плотность энергии на единицу массы (Вт⋅ч/кг) | Плотность энергии на единицу объёма (МДж/л) | Практическая эффективность использования % |
|---|---|---|---|---|
| Аннигиляция материя + антиматерия | до 89 875 517 873,681 764 (точно) ≈ 9⋅1010 | 24 965 421 631 578,26(7) ≈ 25⋅1012 | Зависит от вступающих в реакцию частиц, электроны и позитроны аннигилируют полностью, при аннигиляции барионов часть энергии в конечном счёте уносят нейтрино | |
| Слияние ядер водорода | 645 000 000 | 179 310 000 000 | ~1–10⋅1012(в ядре Солнца) | |
| Реакция дейтерий-тритий | 337 000 000 | 93 686 000 000 | ||
| Уран-235, используемый в ядерном оружии | 88 250 000 | 24 533 500 000 | 1 681 000 000 | |
| Природный уран (99,3 % U-238, 0,7 % U-235) в реакторе на быстрых нейтронах | 86 000 000 | 23 908 000 000 | ||
| Тепловая энергия от α-распада плутония-238 | 2 200 000 | 611 600 000 | 43 648 000 | |
| Кинетическая энергия спутника Земли на низкой орбите | 33 | 9 167 | ||
| Дизельное топливо в мощной дизельной электростанции (без учёта массы генератора) | 20,1 | 5 583 | 47 % | |
| Бензин (без учёта массы генератора) | 8,1—10,5 | 2250—2917 | 19—24 % | |
| Супермаховик | 1,8 | 500 | 98% | |
| теплоёмкость воды(на 1 градус) | 4,2⋅10-3 | 1,167 | 4,2⋅10-3 | 45% |
| Генератор на водородном топливном элементе, без учёта массы конструкции | 12 | 3000 | ||
| Серебряно-цинковый аккумулятор | 0,47 | 130,6 | 1,8 | |
| Литий-ионный аккумулятор | 0,46—0,72 | 128—200 | 2 | |
| Ni-MH-аккумулятор формата AA ёмкостью 2000 мА·ч | 0,33 | 92 | 1,24 | |
| Тяговый свинцово-кислотный аккумулятор | 0,17 | 47 | ||
| Пусковой свинцово-кислотный аккумулятор | 0,1368 | 38 | 0,337 | |
| Сжатый воздух | 0,07-0,18 | 60% | ||
| 0,1 | ||||
| Ионистор | 0,03 | 6,17 | 0,032 (MAXWELL K2) | |
| Керамический конденсатор | 0,003 | |||
| Электролитический конденсатор | 0,000 639 | 0,1775 | 0,00083 | |
| Плёночный конденсатор | 0,000 180 | 0,05 | 0,0025 (maxwell CM-3) | |
| Гравитационный аккумулятор (груз 1 кг на высоте 1 м) | 0,000 009 8 | 0,0027 | 0,0001 для свинца | |
| Взведенная | 0,0003 | 0,083 | 0,0006 |
Электрическая энергия заряженных проводников
Пример 3.
Определите
работу электрических сил при уменьшении
в 2 раза радиуса однородно заряженной
сферы. Заряд сферы q
,
ее первоначальный радиус R
.
Решение
.
Электрическая энергия уединенного
проводника определяется формулой
,
гдеq
–
заряд проводника,- его
потенциал. Учитывая, что потенциал
однородно заряженной сферы радиусаR
равен
,
найдем ее электрическую энергию:
.
После уменьшения в два раза радиуса
сферы ее энергия становится равной
.
Электрические силы при этом совершают
работу
.
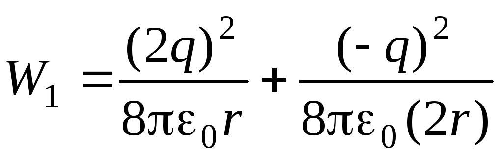
Пример 4.
Два металлических
шара, радиусы которых r
и 2r
,
а соответствующие заряды 2q
и –q
,
расположены в вакууме на большом
расстоянии друг от друга. Во сколько
раз уменьшится электрическая энергия
системы, если шары соединить тонкой
проволокой?
Решение
.
После
соединения шаров тонкой проволокой их
потенциалы становятся одинаковыми
,
а
установившиеся заряды шаров Q
1
и Q
2 получаются
в результате перетекания заряда с одного
шара на другой. При этом суммарный заряд
шаров остается постоянным:
.
Из этих
уравнений найдем
,
.
Энергия
шаров до соединения их проволокой равна
,
а после
соединения
.
Подставляя
в последнее выражение значения Q
1
и Q
2 ,
получим после простых преобразований
.
Пример 5.
В один шар
слились N
= 8
одинаковых шариков ртути, заряд каждого
из которых q
.
Считая, что в начальном состоянии ртутные
шарики находились на большом расстоянии
друг от друга, определите, во сколько
раз увеличилась электрическая энергия
системы.
Решение
.
При
слиянии ртутных шариков сохраняется
их суммарный заряд и объем:
,
где
Q
– заряд
шара, R
– его
радиус, r
– радиус
каждого маленького ртутного шарика.
Суммарная электрическая энергия N
уединенных шариков равна
.
Электрическая
энергия полученного в результате слияния
шара
.
После
алгебраических преобразований получим
= 4.
Пример 6.
Металлический
шарик радиуса R
= 1 мм
и заряда q
= 0,1 нКл с большого расстояния
медленно приближают к незаряженному
проводнику и останавливают, когда
потенциал шарика становится равным
= 450 В.
Какую работу для этого следует совершить?
Решение
.
Электрическая энергия системы из двух
заряженных проводников определяется
формулой
,
где q
1 иq
2 – заряды проводников, 1 и 2 – их потенциалы. Так как проводник по
условию задачи не заряжен, то
,
где q
1 и 1 заряд и потенциал шара. Когда шар и
незаряженный проводник находятся на
большом расстоянии друг от друга,
,
и электрическая энергия системы
.
.
Работа внешних сил равна приращению
электрической энергии:
= –0,0225 мкДж.
Заметим,
что электрическое поле в конечном
состоянии системы создается зарядами,
индуцированными на проводнике, а также
зарядами, неоднородно распределенными
по поверхности металлического шара.
Рассчитать это поле при известной
геометрии проводника и заданном положении
металлического шара весьма непросто.
Нам не потребовалось этого делать,
поскольку в задаче задана не геометрическая
конфигурация системы, а потенциал шара
в конечном состоянии.
Пример
7
.
Решение
.
Электрическая энергия
системы из двух заряженных проводников
определяется формулой
.
Для
решения задачи необходимо найти
потенциалы внутренней ( 1)
и внешней ( 2)
сфер. Это нетрудно сделать (см.
соответствующий раздел пособия):
,
.
Подставляя эти выражения
в формулу для энергии, получим
.
При
энергия равна
.
Плотность энергии в накопителях энергии и топливах
Общий объем и массовая плотность энергии некоторых видов топлива.
В области хранения энергии массовая плотность энергии используется вместе с объемной плотностью энергии для сравнения производительности технологий хранения. Единицей измерения, обычно используемой в этой области, является ватт-час на килограмм : 1 Втч / кг = 3600 Дж / кг.
Чем выше плотность энергии, тем больше энергии может быть сохранено или транспортировано для данного объема или массы
Это особенно важно в области транспорта (автомобиль, самолет, ракета и т. Д.)
Следует отметить, что при выборе топлива для транспортного средства, помимо экономических аспектов, учитывается эффективность трансмиссии.
Источники энергии с более высокой плотностью образуются в результате реакций синтеза и деления. Из-за ограничений, порождаемых делением, он остается ограниченным для очень специфических приложений. С другой стороны, непрерывный синтез еще не освоен. Угля , то газ и нефть являются источниками наиболее часто используемых в энергетическом мире, даже если они имеют гораздо меньшую плотность энергии, а остальное поступает за счет сжигания биомассы , который имеет плотность энергии еще ниже.
Типичные плотности энергии
В следующем списке представлена плотность энергии потенциально используемых материалов для хранения или производства энергии. В списке не учтена масса необходимых реагентов, таких как кислород для горения или вещества для аннигиляции с антивеществом . Для чтения таблицы может оказаться полезным следующее преобразование единиц измерения: 1 МДж ≈ 0,28 кВтч . Иногда необходимо вывести из энергии, высвобождаемой при сгорании обычных видов топлива, энергию, высвобождаемую при испарении водяного пара, образующегося в результате химической реакции, что может снизить значение плотности энергии с 5 до 10%.
| Тип источника | Реакция | Удельная энергия ( кВтч / кг ) | Удельная энергия
( МДж / кг ) |
Плотность энергии
( МДж / л ) |
Использует |
|---|---|---|---|---|---|
| Антивещество | Аннигиляция материя-антивещество | 24 965 421 631,578 = ~ 25 ТВтч / кг | 89 875 517 874 = ~ 90 ПДж / кг | Эксперименты, исследования и будущее использование | |
| Дейтерий и тритий | Термоядерный синтез | 93 718 719 | 337 387 388 | 6 368 000 000 | Производство электроэнергии (в разработке) |
| Плутоний-239 | Ядерное деление | 23 230 277 | 83 629 000 | 1 657 000 000 | Производство электроэнергии (разведение) |
| Уран-235 | Ядерное деление | 22 083 333 | 79 500 000 | 1 534 000 000 | Производство электроэнергии |
| Водород (сжатый до 700 бар) | Химическая | 34,1 | 123 | 5,6 | Автомобильные двигатели |
| Бензин | Химическая | 13,1 | 47,2 | 34 | Автомобильные двигатели |
| Пропан (или СНГ ) | Химическая | 12,8 | 46,4 | 26 год | Кулинария, бытовое отопление, Автомобильные двигатели |
| Масло / Дизельное топливо | Химическая | 12,6 | 45,4 | 36,4 | Автомобильные двигатели, отопление дома |
| Керосин | Химическая | 11,9 | 43 год | 33 | Авиационные двигатели |
| Жиры (животные или растительные) | Химическая | 10.2 | 37 | Питание людей или животных, двигатели транспортных средств | |
| Каменный уголь | Химическая | 6,6 | 24 | Производство электроэнергии, домашнее отопление | |
| Углеводы (включая сахар) | Химическая | 4,7 | 17 | Питание человека или животных | |
| Питательный белок | Химическая | 4.6 | 16,8 | Питание человека или животных | |
| Древесина | Химическая | 4.5 | 16,2 | Отопление, приготовление пищи | |
| Литий-воздушный аккумулятор | Электрохимический | 2,5 | 9 | Портативные электронные устройства, электромобили (в разработке) | |
| TNT | Химическая | 1.2 | 4.6 | Взрывчатые вещества | |
| Черный порошок | Химическая | 0,83 | 3 | Взрывчатые вещества | |
| Литиевый аккумулятор | Электрохимический | 0,5 | 1,8 | 4,32 | Переносные электронные устройства, фонарики (неперезаряжаемые) |
| Литий- серный аккумулятор | Электрохимический | 0,5 | 1,8 | Электрические транспортные средства | |
| Литий- ионный аккумулятор | Электрохимический | 0,2 | 0,72 | 0,9–2,23 | Портативные электронные устройства, электромобили |
| Щелочная батарея | Электрохимический | 0,163 | 0,59 | Переносные электронные устройства, фонарики (неперезаряжаемые) | |
| Суперконденсатор (графен / SWCNT) | Электрический | 0,155 | 0,56 | Электромобили, регулирование мощности | |
| Сжатый воздух (300 бар) | Пневматический | 0,138 | 0,5 | 0,2 | Хранилище энергии |
| Натриево-ионный аккумулятор | Электрохимический | 0,101 | 0,367 | Балансировка нагрузки, хранение энергии | |
| Никель-металлогидридный аккумулятор | Электрохимический | 0,080 | 0,288 | 0,504–1,08 | Портативные электронные устройства, фонарики |
| Суперконденсатор | Электрический | 0,0277 | 0,1 | Регулировка мощности | |
| Свинцово-кислотная батарея | Электрохимический | 0,0277 | 0,1 | Запуск двигателей автомобилей | |
| Механический | 0,010 | 0,036-0,5 | Рекуперация кинетической энергии (KERS) | ||
| Конденсатор | Электрический | 0,001 | 0,000036 | Электронные схемы |
Плотность энергии электрического и магнитного полей
Энергия электромагнитного поля — энергия, которая заключена в электромагнитном поле.
В рамках данного понятия можно рассматривать частные случаи чистого электрического и чистого магнитного поля. Рассмотреть энергию электромагнитного поля допустимо с помощью его характеристик.
Формула 12
Работа A электрического поля E, которая совершается для перемещения заряда Q, схожа по смыслу с механической работой:
\({\displaystyle A=\int F(x)\,dx=\int Q\cdot E(x)\,dx=Q\cdot U,}\)
где \(U=\int E\,dx\) — разность потенциалов, или напряжение.
Формула 13
Чаще всего при решении примеров рассматривают непрерывный перенос заряда за определенное время между точками с конкретной разностью потенциалов U(t). В результате уравнение для определения работы принимает следующий вид:
\({\displaystyle A=\int U(t)\,dQ=\int U(t)I(t)\,dt,}\)
где \(I(t)={dQ \over dt}\) — сила тока.
Формула 14
Мощность P, которая характеризует электрический ток на отрезке цепи, равна производной от работы A по времени. Формула для расчета мощности:
\({\displaystyle P(t)={\frac {dA}{dt}}=U(t)\cdot I(t),}\)
Согласно закону Ома:
\(U=I\cdot R\)
Электрическая мощность, которая выделяется на сопротивлении R, определяется, как:
\({\displaystyle P=I(t)^{2}\cdot R,}\)
Формула мощности с учетом напряжения принимает следующий вид:
\({\displaystyle P={{U(t)^{2}} \over R}.}\)
Таким образом, работа (выделившаяся теплота) представляет собой интеграл мощности по времени:
\({\displaystyle A=\int P(t)\,dt=\int I(t)^{2}\cdot R\,dt=\int {{U(t)^{2}} \over R}\,dt.}\)
Примечание
Если рассматривать электрическое и магнитное поля, можно прийти к выводу, что их энергия пропорциональна квадрату напряженности поля. Определение «энергия электромагнитного поля» не совсем соответствует действительности. Ему на замену в физике нередко употребляют термин плотности энергии электромагнитного поля (в заданной точке пространства). Общая величина энергии поля является интегралом плотности энергии по всему пространству.
В системе СИ:
\({\displaystyle u={\frac {\mathbf {E} \cdot \mathbf {D} }{2}}+{\frac {\mathbf {B} \cdot \mathbf {H} }{2}}.}\)
В вакуумной среде и микрополях:
\({\displaystyle u={\varepsilon _{0}E^{2} \over 2}+{B^{2} \over {2\mu _{0}}}=\varepsilon _{0}{\frac {E^{2}+c^{2}B^{2}}{2}}={\frac {E^{2}/c^{2}+B^{2}}{2\mu _{0}}},}\)
где E — напряженность электрического поля;
B — магнитная индукция;
D — электрическая индукция;
H — напряженность магнитного поля;
с — скорость света;
\(\varepsilon _{0} \)— электрическая постоянная;
\(\mu _{0}\) — магнитная постоянная.
В системе СГС:
\({\displaystyle u={\frac {\mathbf {E} \cdot \mathbf {D} +\mathbf {B} \cdot \mathbf {H} }{8\pi }}.}\)
Формула 15
Энергия электромагнитного поля в колебательном контуре:
\({\displaystyle W={\frac {CU^{2}}{2}}+{\frac {LI^{2}}{2}},}\)
где U — электрическое напряжение в цепи;
C — электроемкость конденсатора;
I — сила тока;
L — индуктивность катушки или витка с током.
В том случае, когда речь идет об электромагнитной волне, плотность потока энергии определяют с помощью вектора Пойнтинга S (в русской научной литературе можно встретить понятие вектор Умова–Пойнтинга).
Формула 16
В системе СИ вектор Пойнтинга определяют, как:
\({\mathbf S}={\mathbf E}\times {\mathbf H}\)
В результате вектор Пойнтинга равен векторному произведению напряженностей электрического и магнитного полей. Направление вектора совпадает с перпендикулярами к векторам E и H. Данное условие соответствует свойству поперечности электромагнитных волн.
С другой стороны, формулу для плотности потока энергии можно адаптировать для случая стационарных электрических и магнитных полей:
\({\displaystyle \mathbf {S} =\mathbf {E} \times \mathbf {H}.}\)
Электрическая емкость. Конденсатор
Электрическая емкость (электроемкость) – скалярная физическая величина, характеризующая способность уединенного проводника удерживать электрический заряд.
Обозначение – \( C \), единица измерения в СИ – фарад (Ф).
Уединенный проводник – это проводник, удаленный от других проводников и заряженных тел.
Фарад – электроемкость такого уединенного проводника, потенциал которого изменяется на 1 В при сообщении ему заряда 1 Кл:
Формула для вычисления электроемкости:
где \( q \) – заряд проводника, \( \varphi \) – его потенциал.
Электроемкость зависит от его линейных размеров и геометрической формы. Электроемкость не зависит от материала проводника и его агрегатного состояния. Электроемкость проводника прямо пропорциональна диэлектрической проницаемости среды, в которой он находится.
Конденсатор – это система из двух проводников, разделенных слоем диэлектрика, толщина которого мала по сравнению с размерами проводников.
Проводники называют обкладками конденсатора. Заряды обкладок конденсатора равны по величине и противоположны по знаку заряда. Электрическое поле сосредоточено между обкладками конденсатора. Конденсаторы используют для накопления электрических зарядов.
Электроемкость конденсатора рассчитывается по формуле:
где \( q \) – модуль заряда одной из обкладок,
\( U \) – разность потенциалов между обкладками.
Электроемкость конденсатора зависит от линейных размеров и геометрической формы и расстояния между проводниками. Электроемкость конденсатора прямо пропорциональна диэлектрической проницаемости вещества между проводниками.
Плоский конденсатор представляет две параллельные пластины площадью \( S \), находящиеся на расстоянии \( d \) друг от друга.
Электроемкость плоского конденсатора:
где \( \varepsilon \) – диэлектрическая проницаемость вещества между обкладками,\( \varepsilon_0 \) – электрическая постоянная.
На электрической схеме конденсатор обозначается:
Виды конденсаторов:
- по типу диэлектрика – воздушный, бумажный и т. д.;
- по форме – плоский, цилиндрический, сферический;
- по электроемкости – постоянной и переменной емкости.
Конденсаторы можно соединять между собой.
Параллельное соединение конденсаторов
При параллельном соединении конденсаторы соединяются одноименно заряженными обкладками. Напряжения конденсаторов равны:
Общая емкость:
Последовательное соединение конденсаторов
При последовательном соединении конденсаторов соединяют их разноименно заряженные обкладки.
Заряды конденсаторов при таком соединении равны:
Общее напряжение:
Величина, обратная общей емкости:
При таком соединении общая емкость всегда меньше емкостей отдельных конденсаторов.
Важно!
Если конденсатор подключен к источнику тока, то разность потенциалов между его обкладками не изменяется при изменении электроемкости и равна напряжению источника. Если конденсатор заряжен до некоторой разности потенциалов и отключен от источника тока, то его заряд не изменяется при изменении электроемкости
Применение конденсаторов
Конденсаторы используются в радиоэлектронных приборах как накопители заряда, для сглаживания пульсаций в выпрямителях переменного тока.
Методы расчета электрического поля
Расчет электрических полей можно производить аналитическими или численными методами. Их применение возможно, когда границы проводников совпадают с координатными поверхностями той или иной криволинейной системы координат, в которой можно разделить переменные в уравнении Лапласа.
В более реалистических задачах мы сталкиваемся с необходимостью расчета полей, образованных проводниками сложной формы. Кроме того, число проводников, поле которых подлежит расчету, может быть велико.
Примером может служить расчет поля между расщепленными проводами линии электропередачи и опорой. В этом случае, например для линии 750 кВ, каждая фаза содержит четыре провода, и даже при приближенном расчете необходимо учитывать поля по крайней мере 13-ти проводов (три фазы по четыре провода и опора). Понятно, что эффективным инструментом для решения практических задач могут служить только численные методы.
Здесь рассматриваются только линейные модели электростатики, так что каждый раз, когда речь идет о расчете электрических полей, подразумевается, что в изучаемой области потенциал поля удовлетворяет уравнению Пуассона:
Описание
Электрическое поле положительного точечного электрического заряда, подвешенного над полубесконечным проводящим материалом. Поле изображается линиями электрического поля, которые указывают направление электрического поля в пространстве.
Электрическое поле определяется в каждой точке пространства как сила (на единицу заряда), которую испытывает исчезающе малый положительный пробный заряд, помещённый в этой точке. Поскольку электрическое поле определяется в терминах силы, а сила является вектором (то есть имеющей величину, и направление), из этого следует, что электрическое поле будет векторным полем . Векторные поля такого вида иногда называют силовыми полями. Электрическое поле действует между двумя зарядами аналогично тому, как гравитационное поле действует между двумя массами расположенными на каком-то расстоянии, поскольку они оба подчиняются закону обратных квадратов.Закон Кулона гласит, что для стационарных зарядов электрическое поле изменяется в зависимости от заряда источника и изменяется обратно пропорционально квадрату расстояния от источника. Это означает, что при удвоении заряда источника, электрическое поле удваивается, а если пробный заряд отодвинуть вдвое дальше от источника, то поле в этой точке будет только четверть его первоначальной силы.
Электрическое поле можно визуализировать с помощью набора линий, направление которых совпадает с направлением поля в этой точке. Эта концепция была введена Майклом Фарадеем чей термин «силовые линии» все ещё используется. Такая интерпретация полезна тем, что напряжённость электрического поля пропорциональна плотности линий. Силовые линии — это пути, по которым следовал бы точечный положительный заряд бесконечно малой массы, когда он вынужден двигаться в области поля, подобно траекториям, по которым пробные массы следуют в гравитационном поле. Силовые линии стационарных зарядов имеют несколько важных свойств: линии поля начинаются от положительных зарядов и заканчиваются отрицательными зарядами, они входят во все хорошие проводники под прямым углом, и они никогда не пересекаются и не замыкаются между собой. Линии поля удобны для схематичного представления; но поле фактически пронизывает все пространство между линиями. Можно нарисовать больше или меньше линий в зависимости от точности, с которой желательно представить поле. Изучение электрических полей, создаваемых стационарными зарядами, называется электростатикой.
Закон Фарадея описывает взаимосвязь между изменяющимися во времени магнитным и электрическим полями. Один из способов сформулировать закон Фарадея состоит в том, что ротор электрического поля равен отрицательной частной производной магнитного поля по времени. В отсутствие изменяющегося во времени магнитного поля, электрическое поле называется потенциальным (то есть безроторным). Это означает, что существует два вида электрических полей: электростатические поля и поля, возникающие из изменяющихся во времени магнитных полей. Статическое электрическое поле рассматривается с помощью электростатики, но при изменяющемся во времени магнитном поле необходимо рассматривать электромагнитное поле. Изучение изменяющихся во времени магнитных и электрических полей называется электродинамикой.
Более высокая теплотворная способность
Вы также можете выразить содержание энергии как изменение более высокой теплотворной способности ( HHV ). Это количество тепла, выделяемого при комнатной температуре (25 ° C) массой или объемом топлива после его сгорания, и продукты возвращаются к комнатной температуре. Этот метод учитывает скрытое тепло, тепло энтальпии, которое возникает, когда происходит затвердевание и твердофазные фазовые превращения при охлаждении материала.
Посредством этого метода содержание энергии определяется более высокой теплотворной способностью в условиях базового объема ( HHV b ). В стандартных или базовых условиях расход энергии q Hb равен произведению объемного расхода q vb и более высокая теплотворная способность в условиях базового объема в уравнении q Hb = q vb x HHV b .
С помощью экспериментальных методов ученые и инженеры изучили HHV b для различных видов топлива определить, как его можно определить как функцию от других переменных, имеющих отношение к эффективности использования топлива. Стандартные условия определены как 10 ° C (273, 15 K или 32 oF) и 105 паскалей (1 бар).
Эти эмпирические результаты показали, что HHV b зависит от давления и температуры в базовых условиях, а также от состава топлива или газа. Напротив, более низкое значение нагрева LHV является тем же измерением, но в точке, в которой вода в конечных продуктах сгорания остается в виде пара или пара.
Другое исследование показало, что вы можете рассчитать HHV из состава самого топлива. Это должно дать вам HHV =.35X C + 1.18X H + 0.10X S + — 0.02X N — 0.10X O — 0.02X золу с каждым X в качестве дробной массы для углерода (C), водорода (H), серы (S), азот (N), кислород (O) и остаточная зольность. Азот и кислород оказывают вредное влияние на ВГЧ, поскольку они не способствуют выделению тепла, как другие элементы и молекулы.
Методы обнаружения
Органы чувств человека не воспринимают электрических полей. Поэтому мы не можем их увидеть, попробовать на вкус или определить по запаху. Единственное, что может ощутить человек – это выпрямление волос вдоль линий напряжённости. Наличие слабых воздействий мы просто не замечаем.
Обнаружить их можно через воздействие на мелкие кусочки бумаги, бузиновые шарики и т.п. Электрическое поле воздействует на электроскоп – его лепестки реагируют на такие воздействия.
Очень простой и эффективный метод обнаружения с помощью стрелки компаса. Она всегда располагается вдоль линий напряжённости.
Существуют очень чувствительные электронные приборы, с лёгкостью определяющие наличие электростатических полей.
Единица измерения электрической энергии
Поскольку электрическая энергия является одной из форм энергии, она имеет единицу измерения — джоуль, сокращенно . Обозначается как Eпот, эл . Также электрическую энергию измеряют и в ватт-секундах . То есть 1 Дж = 1 Вт * сек.
Чтобы дать вам представление о том, сколько составляет 1 Дж электрической энергии, вот небольшой пример: для того чтобы светодиодная лампа мощностью 1 Вт горела в течение одной секунды, вам нужна электрическая энергия в 1 Дж.
Давайте кратко рассмотрим единицы измерения для этого примера. Ватт — это единица измерения мощности. Мощность P определяется как работа за единицу времени, т.е. P = W / t .
Таким образом, мощность также имеет единицу измерения джоуль в секунду: = Дж / с .
Таким образом, умножение мощности на время дает единицу энергии: * =с * Дж / с = Дж .
Кратная единица 1 Вт — это 1 киловатт-час: 1 кВт * ч = 3,6 * 106 Вт * с = 3,6 * 106 Дж .
Единица измерения «Ватт» названа в честь шотландского изобретателя ДЖЕЙМСА УАТТА (1776-1819), единица «Джоуль» — в честь английского физика Джеймса Прескотта Джоуля (1818-1889).
Формула индуктивного сопротивления катушки
Формула магнитного потока
Вычислить величину сопротивления дросселя XL можно, воспользовавшись следующей формулой:
XL=2πfL.
Здесь буква L обозначает параметр индуктивности дроссели, а f – токовую частоту. Исходя из этого выражения, поначалу попадающий на обмотку ток будет пропорциональным электротоку большой чистоты. В это время дроссель проявляет поведение, аналогичное ситуации цепного разрыва, с сильным повышением индуктивного сопротивления. С течением времени последнее падает до нулевого значения.
Вмонтированная в лампу нитка отличается высоким показателем сопротивления, тогда как активный показатель обмотки, напротив, стремится к нулю. Из-за этого возникает ситуация, когда почти весь цепной ток проходит через дроссель. Когда цепь размыкают при помощи ключа, лампа не затухает постепенно. Напротив, она сначала резко начинает гореть интенсивно, потом – медленно угасать. Чтобы лампа горела, требуется энергетический ресурс. Он поступает из магнитного поля, генерируемого индуктивной катушкой. Таким образом, дроссель проявляет себя источником самоиндукции.
Советуем изучить Задача и особенности заземления трансформаторов.
В рассмотренном примере катушка с обмотками, подключенная в цепь, выступает как источник магнитного поля. Поскольку в такой ситуации это поле не является однородным, для выполнения расчетов необходимо использование показателя, характеризующего концентрацию и распределение энергии в поле. Можно заключить, что смысл введения параметра плотности поля состоит именно в этом.




























